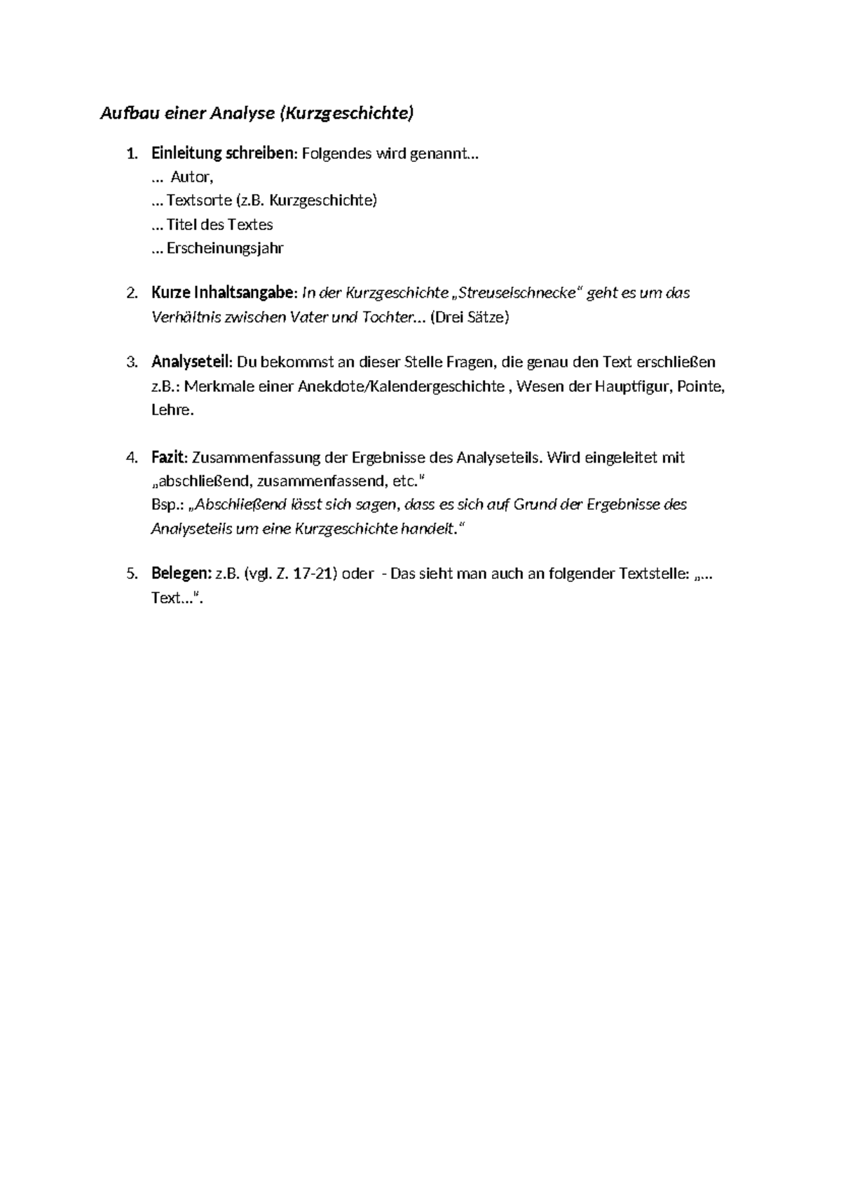
Analyse Einer Kurzgeschichte Aufbau
Kennt ihr das Gefühl, wenn ihr eine richtig gute Kurzgeschichte gelesen habt? Eine, die so kurz und knackig ist, aber trotzdem irgendwie alles erzählt? Die einen zum Lachen, zum Weinen oder einfach nur zum Nachdenken bringt? So eine Geschichte ist wie ein kleines, perfekt geschliffenes Juwel. Aber habt ihr euch jemals gefragt, wie dieses Juwel eigentlich entstanden ist? Wie der Autor es geschafft hat, so viel in so wenig Worte zu packen?
Keine Angst, wir reden hier nicht von einer staubtrockenen Literaturanalyse. Vergesst all die gruseligen Deutschstunden, in denen ihr Gedichtinterpretationen schreiben musstet, die niemand verstanden hat (am wenigsten ihr selbst!). Wir gehen das Ganze spielerisch an. Stellt euch vor, ihr seid Detektive, die einem Geheimnis auf der Spur sind. Euer Tatort: Eine Kurzgeschichte. Eure Werkzeuge: Eure Neugier und ein bisschen logisches Denken.
Fangen wir mit dem Offensichtlichen an: Was passiert eigentlich in der Geschichte? Nicht nur was, sondern auch wie. Wer sind die Figuren? Sind sie sympathisch? Seltsam? Vielleicht sogar ein bisschen verrückt? Und was treibt sie an? Was wollen sie erreichen? Manchmal ist das, was sie sagen und tun, gar nicht das, was sie wirklich denken oder fühlen. Das ist wie im echten Leben! Die Figuren sind wie die Schauspieler in einem kleinen Theaterstück. Sie müssen überzeugen, damit wir ihnen ihre Geschichte abnehmen.
Und dann ist da natürlich die Handlung. Hat die Geschichte einen klassischen Aufbau mit Einleitung, Konflikt, Höhepunkt und Lösung? Oder überrascht sie uns mit einem ganz anderen Muster? Manchmal beginnt eine Kurzgeschichte mitten im Geschehen, wirft uns ins kalte Wasser und lässt uns erst später verstehen, was eigentlich los ist. Das ist wie eine Achterbahnfahrt! Oder die Geschichte endet mit einem Cliffhanger, lässt uns mit vielen Fragen zurück und zwingt uns, selbst weiterzuspinnen. Das ist wie ein spannendes Rätsel!
Ein wichtiger Punkt ist auch die Perspektive. Wer erzählt die Geschichte? Ist es ein allwissender Erzähler, der alles über alle Figuren weiß? Oder erzählt eine der Figuren die Geschichte aus ihrer eigenen, begrenzten Sicht? Die Perspektive kann alles verändern! Wenn die Geschichte von einem unzuverlässigen Erzähler erzählt wird, müssen wir besonders aufmerksam sein. Vielleicht lügt er uns an! Oder er interpretiert die Ereignisse einfach nur anders als wir.
Neben den Figuren und der Handlung spielen auch die Sprache und der Stil eine große Rolle. Welche Wörter wählt der Autor? Sind die Sätze kurz und prägnant oder lang und verschachtelt? Gibt es viele Metaphern und Vergleiche? Die Sprache ist wie die Musik in einem Film. Sie kann die Stimmung verstärken, die Spannung erhöhen oder uns zum Lachen bringen. Ein guter Autor weiß, wie er mit Sprache umgehen muss, um die gewünschte Wirkung zu erzielen.
Der rote Faden
Oft versteckt sich in einer Kurzgeschichte auch ein tieferer Sinn, ein Thema. Es geht nicht immer nur um das, was vordergründig passiert. Vielleicht will der Autor uns etwas über Liebe, Freundschaft, Verlust, Gerechtigkeit oder die Absurdität des Lebens erzählen. Manchmal ist das Thema offensichtlich, manchmal müssen wir es zwischen den Zeilen suchen. Das ist wie eine Schatzsuche!
Ein Thema kann sich durch bestimmte Motive zeigen. Immer wiederkehrende Elemente, Bilder oder Symbole. Stell dir vor, in einer Geschichte über den Verlust eines geliebten Menschen taucht immer wieder ein verlassener Schaukelstuhl auf. Das ist kein Zufall! Der Schaukelstuhl ist ein Symbol für die Leere und die Erinnerungen, die der Verlust hinterlassen hat.
Und was passiert, wenn wir verschiedene Kurzgeschichten vergleichen? Entdecken wir dann wiederkehrende Muster oder Themen, die uns etwas über den Autor oder die Zeit, in der die Geschichten entstanden sind, verraten? Das ist wie das Zusammensetzen eines Puzzles! Je mehr Teile wir haben, desto klarer wird das Gesamtbild.
Kleine Hilfestellung für eure Analyse
Figuren und ihre Motivation
Wer sind die wichtigsten Figuren und was treibt sie an? Wie verändern sie sich im Laufe der Geschichte? Sind sie glaubwürdig dargestellt?
Handlungsablauf
Wie ist die Geschichte aufgebaut? Gibt es einen Wendepunkt? Wie wird die Spannung erzeugt und aufrechterhalten?
Sprache und Stil
Welche sprachlichen Mittel verwendet der Autor (Metaphern, Vergleiche, Ironie etc.)? Wie beeinflusst der Stil die Wirkung der Geschichte?
Thema und Motive
Welches übergeordnete Thema behandelt die Geschichte? Welche Motive tauchen immer wieder auf?
Es gibt nicht die eine, richtige Art, eine Kurzgeschichte zu analysieren. Das Wichtigste ist, dass ihr Spaß dabei habt und eure eigene Interpretation entwickelt. Lasst euch von der Geschichte berühren, regt euch auf, lacht oder weint. Und dann versucht zu verstehen, warum die Geschichte diese Gefühle in euch ausgelöst hat. Das ist wie eine Reise in eine fremde Welt. Je offener und neugieriger ihr seid, desto mehr werdet ihr entdecken.
Und jetzt? Sucht euch eure Lieblingskurzgeschichte, schnappt euch einen Stift und ein Blatt Papier (oder tippt einfach drauflos) und beginnt eure eigene Analyse! Ihr werdet überrascht sein, was ihr alles entdecken werdet. Vielleicht findet ihr sogar etwas über euch selbst heraus!
Denn eigentlich ist die Analyse einer Kurzgeschichte wie ein Spiegel. Sie zeigt uns nicht nur die Geschichte selbst, sondern auch unsere eigene Perspektive auf die Welt.
