Was Ist Glucose Einfach Erklärt
Die Welt der Kohlenhydrate ist komplex und oft missverstanden. Mitten in dieser Komplexität steht die Glucose, auch bekannt als Traubenzucker. Aber was ist Glucose eigentlich genau? Und warum ist sie so wichtig für unseren Körper? Dieser Artikel beleuchtet die Bedeutung von Glucose, erklärt ihre Rolle im menschlichen Körper und geht auf einige der häufigsten Fragen rund um dieses essenzielle Molekül ein.
Die Grundlagen der Glucose
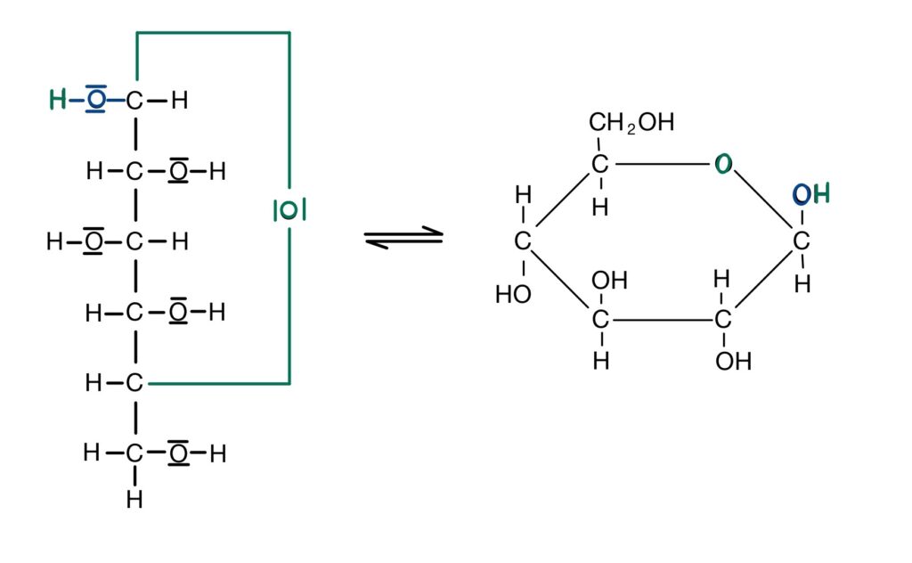
Glucose ist ein Monosaccharid, also ein Einfachzucker. Ihre chemische Formel lautet C6H12O6. Das bedeutet, ein Glucosemolekül besteht aus sechs Kohlenstoffatomen, zwölf Wasserstoffatomen und sechs Sauerstoffatomen. Diese Atome sind in einer charakteristischen Ringstruktur angeordnet, die der Glucose ihre spezifischen Eigenschaften verleiht.
Glucose ist nicht nur ein chemisches Konstrukt; sie ist eine der wichtigsten Energiequellen für Lebewesen. Pflanzen produzieren Glucose während der Photosynthese, wobei sie Sonnenlicht, Wasser und Kohlendioxid in Glucose und Sauerstoff umwandeln. Dieser Prozess bildet die Grundlage für nahezu alles Leben auf der Erde, da Pflanzen die Glucose dann in komplexere Kohlenhydrate umwandeln oder als Energiequelle nutzen.
Vorkommen und Gewinnung
Glucose kommt in vielen Lebensmitteln vor, besonders in süßen Früchten wie Trauben (daher der Name Traubenzucker) und Honig. Sie ist aber auch in geringeren Mengen in Gemüse und anderen pflanzlichen Produkten enthalten. Industriell wird Glucose meist durch die Hydrolyse von Stärke gewonnen, beispielsweise aus Mais oder Kartoffeln. Dabei wird die Stärke in ihre einzelnen Glucosebausteine zerlegt.
Die Reinheit und Qualität der gewonnenen Glucose ist dabei von entscheidender Bedeutung, besonders für Anwendungen in der Lebensmittelindustrie und in der Pharmazie. Es gibt verschiedene Reinheitsgrade, die je nach Verwendungszweck relevant sind. Beispielsweise muss Glucose, die in Infusionslösungen verwendet wird, höchsten Reinheitsanforderungen genügen.
Die Rolle der Glucose im Körper
Glucose ist für unseren Körper wie Benzin für ein Auto. Sie ist der wichtigste Treibstoff für unsere Zellen. Nachdem wir kohlenhydratreiche Nahrung zu uns genommen haben, wird diese im Verdauungstrakt in ihre einzelnen Bestandteile zerlegt, darunter auch Glucose. Die Glucose wird dann über den Darm ins Blut aufgenommen und zu den Zellen transportiert.
Damit die Glucose in die Zellen gelangen kann, benötigen wir Insulin, ein Hormon, das in der Bauchspeicheldrüse produziert wird. Insulin wirkt wie ein Schlüssel, der die Zelltüren öffnet und der Glucose den Eintritt ermöglicht. In den Zellen wird die Glucose dann durch einen Prozess namens Glykolyse abgebaut, wobei Energie freigesetzt wird. Diese Energie wird in Form von ATP (Adenosintriphosphat) gespeichert und kann dann für verschiedene zelluläre Prozesse genutzt werden.
Glucose und das Gehirn
Besonders wichtig ist die Glucose für unser Gehirn. Das Gehirn verbraucht im Verhältnis zu seiner Größe eine enorme Menge an Energie, und diese Energie wird fast ausschließlich aus Glucose gewonnen. Ein Mangel an Glucose kann daher zu Konzentrationsschwierigkeiten, Müdigkeit und im schlimmsten Fall sogar zu Bewusstlosigkeit führen. Aus diesem Grund ist es wichtig, eine konstante Glucoseversorgung des Gehirns sicherzustellen.
Interessanterweise kann das Gehirn Glucose nicht speichern. Es ist also ständig auf die Zufuhr von Glucose aus dem Blut angewiesen. Dies erklärt auch, warum wir uns nach einer kohlenhydratreichen Mahlzeit oft wacher und konzentrierter fühlen.
Glucose und Gesundheit
Während Glucose lebensnotwendig ist, kann ein Übermaß an Glucose im Blut auch schädlich sein. Ein dauerhaft erhöhter Blutzuckerspiegel, wie er beispielsweise bei Diabetes mellitus auftritt, kann zu einer Vielzahl von gesundheitlichen Problemen führen, darunter Schädigungen der Nerven, der Nieren, der Augen und des Herz-Kreislauf-Systems.
Es ist daher wichtig, den Blutzuckerspiegel im Auge zu behalten und auf eine ausgewogene Ernährung zu achten. Komplexe Kohlenhydrate, wie sie in Vollkornprodukten, Gemüse und Hülsenfrüchten vorkommen, werden langsamer verdaut und führen daher zu einem langsameren und gleichmäßigeren Anstieg des Blutzuckerspiegels als einfache Zucker, wie sie in Süßigkeiten und zuckerhaltigen Getränken enthalten sind.
Diabetes und Glucose
Diabetes mellitus ist eine Stoffwechselerkrankung, die durch einen erhöhten Blutzuckerspiegel gekennzeichnet ist. Es gibt verschiedene Formen von Diabetes, aber die beiden häufigsten sind Typ-1-Diabetes und Typ-2-Diabetes. Bei Typ-1-Diabetes produziert die Bauchspeicheldrüse kein oder nur sehr wenig Insulin. Bei Typ-2-Diabetes reagieren die Zellen nicht mehr ausreichend auf Insulin (Insulinresistenz), oder die Bauchspeicheldrüse produziert nicht genügend Insulin, um den erhöhten Bedarf zu decken.
Die Behandlung von Diabetes zielt darauf ab, den Blutzuckerspiegel im Normbereich zu halten, um Komplikationen zu vermeiden. Dies kann durch eine Kombination aus Ernährungsumstellung, Bewegung, Medikamenten und in einigen Fällen auch durch Insulininjektionen erreicht werden.
Häufige Fragen zu Glucose
- Ist Glucose dasselbe wie Zucker? Ja, im weitesten Sinne ist Glucose eine Form von Zucker. Genauer gesagt ist sie ein Einfachzucker oder Monosaccharid. Es gibt viele verschiedene Arten von Zucker, wie Fructose, Saccharose (Haushaltszucker) und Lactose (Milchzucker), aber Glucose ist eine der grundlegendsten und wichtigsten.
- Wie viel Glucose brauche ich täglich? Der tägliche Bedarf an Glucose ist individuell und hängt von verschiedenen Faktoren ab, wie Alter, Geschlecht, Aktivitätslevel und Gesundheitszustand. Es gibt keine pauschale Empfehlung, aber eine ausgewogene Ernährung mit komplexen Kohlenhydraten sollte in der Regel ausreichend Glucose liefern.
- Kann zu viel Glucose schädlich sein? Ja, ein dauerhaft erhöhter Blutzuckerspiegel kann zu gesundheitlichen Problemen führen, insbesondere bei Menschen mit Diabetes. Es ist wichtig, den Zuckerkonsum zu begrenzen und auf eine ausgewogene Ernährung zu achten.
- Wo finde ich Glucose in Lebensmitteln? Glucose kommt in vielen Lebensmitteln vor, insbesondere in süßen Früchten, Honig, aber auch in geringeren Mengen in Gemüse und anderen pflanzlichen Produkten.
Glucose ist ein faszinierendes Molekül, das eine zentrale Rolle in unserem Körper und in der gesamten Biosphäre spielt. Das Verständnis ihrer Funktion und Bedeutung ist entscheidend für ein gesundes Leben. Indem wir uns bewusst ernähren und auf unseren Blutzuckerspiegel achten, können wir die Vorteile der Glucose nutzen und gleichzeitig ihre potenziellen Risiken minimieren.
"Die Einfachheit der Glucose verbirgt ihre fundamentale Bedeutung. Sie ist die Lebensader, die uns mit Energie versorgt und uns am Leben erhält."
